Bimbel BUMN Kabupaten Kotabaru – Pernahkah kamu merasa panik saat menghadapi tes penting? Detak jantung meningkat, pikiran kosong, dan tangan tiba-tiba berkeringat dingin. Situasi ini sangat umum terjadi, terutama saat mengikuti seleksi Badan Usaha Milik Negara, di mana persaingan begitu ketat dan tekanan untuk sukses sangat besar. Rasa panik sering kali muncul karena kurangnya persiapan atau rasa takut akan kegagalan. Namun, kabar baiknya adalah bahwa rasa panik ini bisa diatasi dengan strategi yang tepat. Salah satu cara efektif adalah mempersiapkan diri dengan bantuan Bimbel BUMN Kabupaten Kotabaru, yang memberikan bimbingan khusus untuk mengatasi panik selama tes. Berikut ini adalah beberapa tips dan trik yang bisa membantu kamu tetap tenang dan fokus saat menghadapi tes, sehingga panik tidak lagi menjadi penghalang menuju kesuksesan.
Baca juga : PCS OJK Tips Persiapan Seleksi: Cara Ampuh Raih Kesempatan Karir di OJK!
1. Kenali Pemicu Panik
Langkah pertama untuk mengatasi panik adalah memahami apa yang menjadi pemicunya. Bagi sebagian orang, panik muncul karena takut tidak bisa menjawab soal, merasa kurang persiapan, atau terlalu memikirkan hasil akhir. Melalui Bimbel BUMN Kabupaten Kotabaru, peserta diajak untuk mengenali apa saja yang membuat mereka cemas sebelum dan selama tes. Dengan mengenali pemicu ini, langkah-langkah pencegahan bisa dilakukan lebih awal.
Misalnya, jika panik disebabkan oleh kurangnya pemahaman soal, solusi terbaik adalah berlatih lebih banyak soal dan mengikuti simulasi tes. Jika rasa panik berasal dari ketakutan berhadapan dengan waktu yang terbatas, maka peserta bisa dilatih untuk mengatur waktu dengan lebih efektif.

2. Latihan Soal dengan Simulasi Realistis
Salah satu penyebab utama rasa panik adalah ketidaktahuan tentang apa yang akan dihadapi. Simulasi tes yang menyerupai kondisi sebenarnya adalah cara efektif untuk mengurangi rasa panik. Bimbel BUMN Kabupaten Kotabaru menyediakan simulasi tes yang dirancang sedekat mungkin dengan situasi nyata, sehingga peserta bisa terbiasa dengan tekanan waktu dan format soal.
Simulasi ini juga membantu peserta untuk mengetahui kekuatan dan kelemahan mereka. Dengan sering mengikuti simulasi, rasa percaya diri akan meningkat, karena peserta tahu apa yang harus dilakukan selama tes berlangsung.
3. Teknik Relaksasi Sebelum Tes
Panik sering kali disebabkan oleh stres yang tidak dikelola dengan baik. Oleh karena itu, belajar teknik relaksasi menjadi sangat penting. Beberapa teknik yang bisa dicoba meliputi pernapasan dalam, meditasi ringan, atau visualisasi positif. Di Bimbel BUMN Kabupaten Kotabaru, peserta diajarkan cara melakukan teknik-teknik ini sebelum dan selama tes.
Misalnya, teknik pernapasan dalam melibatkan menarik napas perlahan melalui hidung, menahannya selama beberapa detik, lalu menghembuskannya perlahan. Latihan ini membantu menenangkan sistem saraf dan mengurangi rasa cemas. Visualisasi positif juga efektif, di mana peserta membayangkan diri mereka berhasil menyelesaikan tes dengan baik.

4. Manajemen Waktu yang Efektif
Salah satu penyebab panik yang paling umum adalah rasa takut kehabisan waktu. Ketika peserta merasa waktu semakin menipis, pikiran sering kali menjadi kacau, dan fokus terganggu. Untuk menghindari hal ini, penting untuk memiliki strategi manajemen waktu yang baik.
Bimbel BUMN Kabupaten Kotabaru memberikan pelatihan khusus tentang cara mengatur waktu selama tes. Peserta diajarkan untuk membagi waktu dengan proporsi yang sesuai, seperti mengerjakan soal yang lebih mudah terlebih dahulu sebelum beralih ke soal yang lebih sulit. Dengan cara ini, peserta bisa mengoptimalkan waktu yang ada dan mengurangi tekanan.
5. Persiapkan Fisik dan Mental dengan Baik
Kondisi fisik dan mental yang prima adalah kunci untuk menghadapi tes dengan tenang. Kurang tidur, pola makan yang tidak sehat, atau stres berlebihan dapat memperburuk rasa panik. Oleh karena itu, pastikan untuk tidur cukup pada malam sebelum tes, konsumsi makanan bergizi, dan hindari kafein yang berlebihan.
Di Bimbel BUMN Kabupaten Kotabaru, peserta sering diingatkan pentingnya menjaga keseimbangan antara belajar dan istirahat. Bahkan, ada sesi khusus yang mengajarkan teknik-teknik untuk menjaga fokus dan energi selama tes berlangsung.
6. Fokus pada Satu Soal dalam Satu Waktu
Salah satu kesalahan umum yang membuat peserta panik adalah terlalu banyak memikirkan soal yang belum dikerjakan. Pikiran seperti ini justru membuat konsentrasi terpecah dan meningkatkan rasa cemas. Sebaiknya, fokuslah pada satu soal dalam satu waktu. Kerjakan soal dengan tenang, dan jika menemui soal yang sulit, tandai dan lanjutkan ke soal berikutnya.
Bimbel BUMN Kabupaten Kotabaru memberikan latihan untuk meningkatkan konsentrasi peserta, sehingga mereka bisa lebih fokus saat mengerjakan soal. Peserta diajarkan untuk tidak terjebak pada satu soal yang sulit, karena hal ini hanya akan membuang waktu.

7. Jangan Terlalu Keras pada Diri Sendiri
Rasa panik sering kali muncul karena peserta terlalu keras pada diri sendiri. Mereka merasa harus sempurna dan tidak boleh melakukan kesalahan. Padahal, tidak ada yang sempurna, dan wajar jika ada beberapa soal yang tidak bisa dijawab. Yang penting adalah tetap tenang dan melakukan yang terbaik.
Melalui pendekatan yang santai namun terarah, Bimbel BUMN Kabupaten Kotabaru membantu peserta untuk lebih menghargai proses daripada terlalu fokus pada hasil. Dengan cara ini, rasa panik bisa dikurangi, dan peserta bisa tampil lebih optimal.
Baca juga : Latihan Soal PCS OJK – Cari Tahu Informasi Lengkapnya di Sini!
Menghadapi panik saat tes adalah hal yang sangat umum, tetapi bukan berarti tidak bisa diatasi. Dengan persiapan yang matang, teknik relaksasi, dan latihan yang cukup, panik bisa diminimalkan. Bimbel BUMN Kabupaten Kotabaru memberikan bimbingan lengkap untuk membantu peserta mengelola rasa panik mereka, sehingga mereka bisa tampil percaya diri saat tes.
Ingat, kunci utama adalah persiapan dan ketenangan. Dengan latihan yang cukup, manajemen waktu yang baik, dan teknik relaksasi yang efektif, rasa panik tidak lagi menjadi hambatan untuk sukses. Jadikan tes ini sebagai langkah awal untuk meraih karir di BUMN yang kamu impikan.
Contoh Soal :
1) 17, 21, 28, 39, 55, …, …
- A. 77, 106
- B. 75, 105
- C. 78, 108
- D. 76, 110
- E. 79, 104
2) KOREKTIF >< ….
- A. Disiplin
- B. Khusus
- C. Ceroboh
- D. Angkuh
- E. Teliti
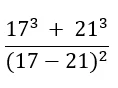
3)

- A. 38
- B. 39
- C. 40
- D. 41
- E. 42
4) TALENTA = ….
- A. Kikuk
- B. Bodoh
- C. Bakat
- D. Kegemaran
- E. Pintar
5) 3/5 + 3²/5^3 x 5/21 : 1/175 =
- A. 4.6
- B. 3.6
- C. 2.6
- D. 7.6
- E. 5.6
Referensi :
- https://thirdspacelearning.com/blog/exam-anxiety/
- https://adjar.grid.id/read/543952778/sering-panik-saat-menjelang-ujian-coba-lakukan-5-cara-ini-agar-tetap-tenang-dalam-menghadapi-ujian-di-sekolah?page=all
Ingin lolos seleksi BUMN? Bergabung dengan JadiBUMN sekarang. Unduh aplikasi JadiBUMN dan dapatkan akses bimbingan intensif dan latihan soal berkualitas. Dapatkan semua yang Kamu butuhkan hanya dalam satu aplikasi. Download sekarang dan mulailah perjalanan menuju karir impianmu!
Testimoni jadiBUMN




Program Premium Bimbel jadiBUMN 2024
“Semakin sering latihan soal akan semakin terbiasa, semakin cepat, semakin teliti dan semakin tepat mengerjakan soal-soal Rekrutmen BUMN 2024 ” 🌟
Kunci sukses Tes Rekrutmen BUMN adalah membiasakan diri mengerjakan ribuan tipe soal Tes Rekrutmen BUMN seperti anak bayi yang belajar berjalan terasa berat diawal dan akan terbiasa bila terus dilatih hingga bisa berlari kencang.


📋 Cara Membeli dengan Mudah:
- Unduh Aplikasi jadiBUMN: Temukan aplikasi jadiBUMN di Play Store atau App Store, atau akses langsung melalui website.
- Masuk ke Akun Anda: Login ke akun jadiBUMN Anda melalui aplikasi atau situs web.
- Pilih Paket yang Cocok: Dalam menu “Beli”, pilih paket bimbingan yang sesuai dengan kebutuhan Anda. Pastikan untuk melihat detail setiap paket.
- Gunakan Kode Promo: Masukkan kode “BUMN2024” untuk mendapat diskon spesial sesuai poster promo
- Gunakan Kode Afiliasi: Jika Anda memiliki kode “RES163797”, masukkan untuk diskon tambahan.
- Selesaikan Pembayaran: Pilih metode pembayaran dan selesaikan transaksi dengan aman.
- Aktivasi Cepat: Paket Anda akan aktif dalam waktu singkat setelah pembayaran berhasil.



